C++是一种广泛使用的编程语言,它以其高效、灵活和可移植性而闻名。在C++岗位的面试中,笔试题是评估候选人编程能力和理解力的重要环节。本文将为您提供一些C++岗位的面试笔试题,并给出参考答案,帮助您更好地准备面试。
1. 请解释什么是面向对象编程(OOP)?并举例说明其优点。
参考答案:
面向对象编程(OOP)是一种编程范式,它将数据和操作数据的方法封装在一起,形成一个对象。对象具有属性(数据)和方法(操作)。通过定义类来创建对象,类是对象的模板,描述了对象的属性和方法。
OOP的优点包括:
- 代码重用性高:通过继承和多态,可以在不同的类中使用相同的代码。
- 模块化:将代码分解为独立的类,每个类负责特定的功能,提高代码的可读性和可维护性。
- 可扩展性:可以通过继承和多态来扩展现有类的功能,而不需要修改现有代码。
- 封装性:将数据和方法封装在类中,隐藏了实现细节,提高了代码的安全性。
2. 请解释什么是虚函数?并说明其在C++中的应用。
参考答案:
虚函数是在基类中声明的函数,它可以在派生类中被重写。当通过基类指针或引用调用虚函数时,会根据实际指向的对象类型来确定调用哪个派生类的函数。
虚函数在C++中的应用主要有以下几个方面:
- 多态性:通过使用虚函数,可以实现多态性,即同一接口可以被不同的对象实现,提高了代码的灵活性和可扩展性。
- 动态绑定:通过使用虚函数,可以在运行时根据对象的实际类型来调用相应的函数,实现了动态绑定。
- 抽象类和接口:虚函数常用于定义抽象类和接口,通过将某些成员函数声明为虚函数,要求派生类必须实现这些函数,从而实现了抽象类和接口的概念。
3. 请解释什么是智能指针?并列举几种常见的智能指针类型。
参考答案:
智能指针是一种特殊类型的指针,它提供了自动管理内存的功能。智能指针可以自动释放所指向的对象的内存,避免了内存泄漏的问题。
常见的智能指针类型包括:
- std::shared_ptr:共享指针,允许多个指针共享同一个对象,当最后一个指针离开作用域时,对象会被自动释放。
- std::unique_ptr:独占指针,不允许多个指针共享同一个对象,当指针离开作用域时,对象会被自动释放。
- std::weak_ptr:弱指针,是对共享指针的一个引用计数器,不会影响对象的生命周期。
4. 请解释什么是异常处理?并说明try-catch语句的作用。
参考答案:
异常处理是一种处理程序运行过程中出现的错误或异常情况的机制。通过使用异常处理,可以将错误或异常情况与正常的程序逻辑分离开来,提高程序的健壮性和可维护性。
try-catch语句是C++中用于异常处理的关键字组合。它的作用是将可能抛出异常的代码放在try块中,然后在catch块中捕获并处理异常。当try块中的代码抛出异常时,程序会立即跳转到与之匹配的catch块中执行异常处理代码,而不会继续执行try块中的后续代码。如果没有匹配的catch块,程序会终止并显示异常信息。
5. 请解释什么是模板元编程?并举例说明其应用。
参考答案:
模板元编程是一种使用模板来实现编译时计算的技术。它允许程序员编写通用的、可重用的代码,而不需要显式地指定参数的类型。
模板元编程的应用主要包括以下几个方面:
- 泛型算法:通过使用模板元编程,可以编写适用于多种数据类型的通用算法,如排序、查找等。
- 容器和迭代器:标准库中的容器和迭代器都是基于模板元编程实现的,它们可以容纳不同类型的元素,并提供统一的访问方式。
- 元函数和元类:模板元编程还可以用于实现元函数和元类,这些概念在C++中提供了更高级的抽象和控制能力。
6.进程从运行状态进入就绪状态的原因可能是 。
A:时间片用完
B:被选中占有CPU
C:等待某一事件
D:等待的事件已经发生
参考答案:A
7.在可变式分区分配方案中,将空白区在空白区表中按地址递增次序排列是()。
A:最佳适应算法
B:最差适应算法
C:最先适应算法
D:最迟适应算法
参考答案:C
8.在MySQL中Replace在相同的主键或者唯一键的时候相当于以下以下哪个操作?
A:INSERT
B:DELETE+INSERT
C:UPDATE
D:其他都不是
参考答案:B
9.以下关于宏和内联函数描述错误的是()。
A:宏定义不检查函数参数,返回值
B:内联函数和宏很类似,而区别在于,宏是由预处理器对宏进行替代,而内联函数是通过编译器控制来实现的
C:内联函数必须是和函数体申明在一起,才有效。
D:内联函数是预编译器的输入
参考答案:D
10.在计算机操作系统中信号量可以用来保证两个或多个关键代码段不被并发调用,而在进入一个关键代码段之前,线程必须获取到一个信号量,现假设有4个进程共享同一程序段,而且每次最多允许3个进程进入该程序段,则信号量的变化范围是多少()?
A:0~3
B:-1~3
C:0~4
D:-2~2
参考答案:B
11.主机A与主机B已建立TCP连接,A的cwnd(拥塞窗口)大小初始值为1KB,ssthresh (阈值)为16KB,B的rwnd (接收缓存窗口)初始值为8KB,一个最大报文段为1KB,假设数据传输过程中未出现超时,经过3个RTT(3轮传输)后,且B尚未从缓存中取出任何数据时候,主机A的发送窗口大小为()
A:1 KB
B:2 KB
C:3 KB
D:4 KB
参考答案:A
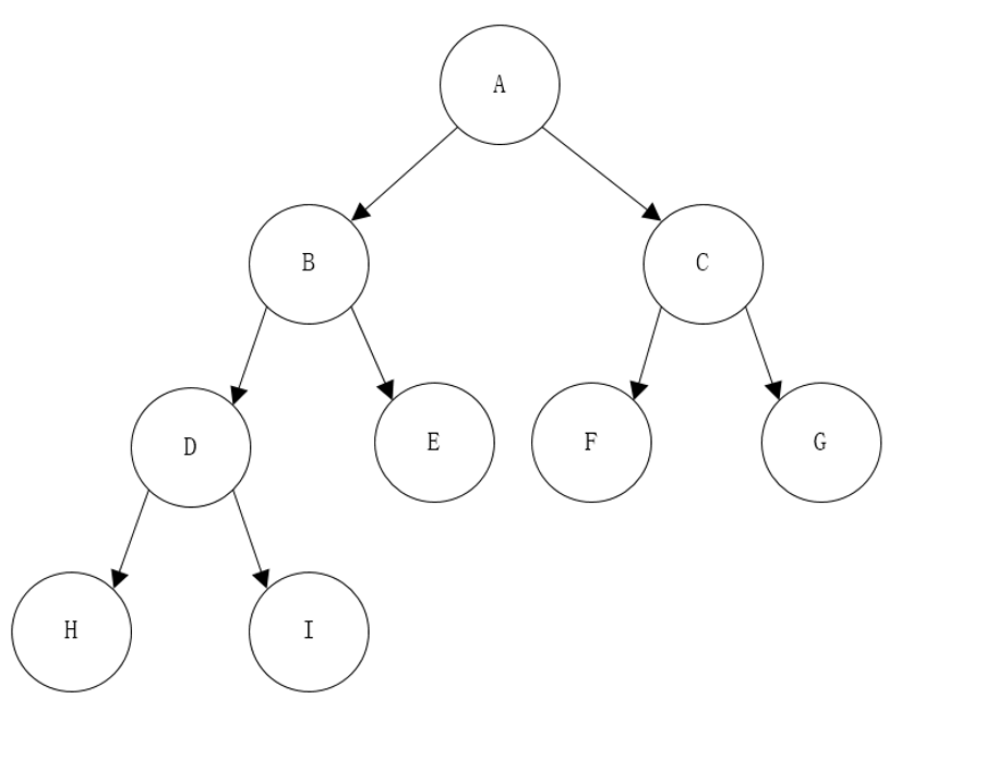
12.借助队列采用非递归的方式对二叉树进行层次遍历,遍历方向为从左至右,在遍历过程中,队列中的元素最多为多少个() 二叉树的结构如图所示:
A:5个
B:6个
C:7个
D:8个
参考答案:A
13.在一颗普通的树上,a 与 b 互为兄弟节点。将树转为二叉树后,下列哪种情形不可能发生()。 注:在将普通的树转换为二叉树过程中,节点在删除与自身子节点的连线时,只保留与最左侧子节点之间的连线。
A:a 是 b 的右孩子
B:a 是 b 的左孩子
C:a 是 b 的祖先节点
D:b 是 a 的祖先节点
参考答案:B
14.这里有一张中国高校院士数目信息表(院士姓名,高校所在省区)(只展示了部分数据,其余大量数据形式相同)
+-----------+---------+
| name |province |
+-----------+---------+
| ad | GD |
| ws | ZJ |
| ge | FJ |
| MO | SX |
| wi | ZJ |
+-----------+---------+
查询出哪个省区,出生院士人数最多?
A:select province,count(*) as count from college group by province limit 1;
B:select province,count(*) as count from college group by province order by count desc limit 1;
C:select province,count(*) as count from college order by count desc limit 1;
D:select province,count(*) as count from college group by province order by count limit 1;
参考答案:B


还没有评论呢,快来抢沙发~